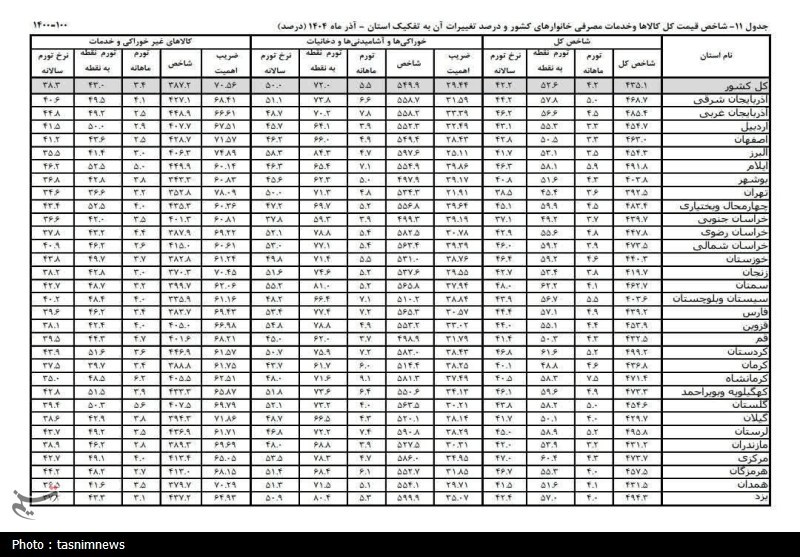
به گزارش خبرگزاری تسنیم از سنندج، بر اساس تازهترین گزارش مرکز آمار ایران تورم نقطه به نقطه در استان کردستان 61.6 درصد شده است، یعنی 9 درصد بالاتر از میانگین 52.6 درصدی کشور.
تورم سالانه آذرماه 1404 هم در کردستان بالاتر از میانگین کشوری بود. میانگین تورم کشوری 42.2 درصد و تورم کردستان به 46.8 درصد ثبت شده بود. طبق آمارهای موجود تنها دو استان کشور در این شاخص از کردستان بدتر عمل کردهاند.
با وجود این وضعیت، پرسش اصلی این است که چرا معاون امور اقتصادی استانداری و سایر مسئولان مرتبط با اقتصاد کردستان نتوانستهاند کنترل قابل قبولی روی تورم داشته باشند؟
وضعیت فعلی نشان میدهد که سیاستهای اقتصادی استان یا ناکارآمدند و یا اینکه ناقص و ناکافی اجرا شدهاند. از سوی دیگر نمیتوان ضعف برنامهریزی و نظارت بر بازارها را نادیده گرفت.
مسئولان اقتصادی باید پاسخ دهند که چرا اقدامات عاجل برای مهار تورم صورت نگرفته است؟

سند منتشره مرکز آمار از تورم نقطه به نقطه نشان میدهد که کردستان با 61.6 درصد، تنها بعد از یک استان دیگر بیشترین افزایش قیمت را در کشور دارد. این اختلاف 9 درصدی با میانگین ملی، نشاندهنده ناکارآمدی سیاستهای اقتصادی است. همچنین؛ تورم سالانه 46.8 درصدی کردستان هم فراتر از میانگین 42.2 درصدی کشور است.
گفتوگوی شماری از شهروندان با خبرنگار تسنیم حاکی از آن است که افزایش تورم، قدرت خرید خانوادهها را به شدت کاهش داده و هزینههای اساسی مانند خوراک، مسکن و درمان افزایش یافته است.
علاوه بر معاونت اقتصادی استانداری کردستان و سازمان صمت، جهاد کشاورزی، تعزیرات و بانکهای عامل نیز مسئول بخشی از این وضعیت در استان هستند. عدم هماهنگی و نظارت مؤثر موجب شده تورم بالا و بیرویه ادامه یابد.
انتهای پیام/481