به گزارش خبرگزاری تسنیم از شیراز، دشتهای خشکیده، چاههای به گِل نشسته، زمینهای تفتیده از گرما و بیآبی و لولههایی که آبی به غایت کم از آن خارج میشود همه تصویری است که میتوان در اغلب نقاط استان فارس نمونه آن را مشاهده کرد.
خست آسمان در بارش در کنار بیتوجهی مردم به کمبودها سبب شده که این روزها «خشکسالی، کمبود بارش و تنش آبی» 3 واژهای باشد که در سالهای اخیر در استان فارس به صورت تکراری بیان شود و این تکرار به قدری بود که دیگر نگرانی ایجاد نمیکند تا آنجا که گویی مردم فراموش کردند خود نیز سهمی در این کمبودها و تنشها دارند.
این موضوع در حالی است که به گفته محمود رضایی، معاون استاندار فارس در حال حاضر 700 تا 800 روستا و 70 _ 80 درصد از شهرهای استان دارای تنش یا مستعد تنش هستند اما ظرفیت سدهای استان 50 درصد است.
این موضوع یعنی تابستانی سخت در انتظار است هر چند بهمن بهروزی مدیرعامل آبفای شیراز تاکید کرده که «مطلقا جیرهبندی آب در شیراز نخواهیم داشت» اما برای مردم و کارشناسان واضح است که در صورتی که مصرف اصلاح نشود و راههای زودبازده برای تامین آب نشود، مشکل آب اصلیترین چالش در روزهای پیش رو خواهد بود.
براساس اعلام رسمی آبفای فارس در کشورهای اروپایی به رغم اینکه متوسط بارندگی یک هزار و 100 میلیمتر یعنی حدود 6 برابر کشور ایران است، سرانه مصرف حدود 110 لیتر در شبانه روز است اما در استان فارس به تنهایی سرانه مصرف در روستاها 216 لیتر و در شهرها 176 لیتر در شبانه روز است که یک فاصله زیاد بین تولید و مصرف را نشان میدهد.
به گفته وی سرانه تولید آب در استان به ازای هر نفر 312 لیتر در شبانه روز است، یعنی برای هر مشترک در استان 312 لیتر آب وارد شبکه میشود اما مصرف مشترکان در شهر و روستا 392 لیتر است و این یعنی 80 لیتر اضافه بر تولید مصرف میشود.
آبرسانی سیار 490 روستای استان فارس
به گفته علیجان صادقپور، مدیرعامل آبفای استان فارس 85 درصد از منابع آبی استان از ظرفیت آبهای زیرزمینی و 15 درصد از منابع سطحی است که با این میزان مصرف قطعا مشکلاتی پیش خواهد آمد. به اعتقاد وی آنچه مشکل ایجاد کرده برداشتهای بیش از حد و بیرویه از سفرههای زیرزمینی است.
صادقپور گفته است که 78 شهر استان فارس در آستانه تنش آبی قرار دارد اما هیچ شهری نیست که مشکل نداشته باشد و 490 روستا به صورت سیار آبرسانی میشوند علاوه بر این 950 روستا با تنش آبی روبهرو هستند این در حالی است که دیگر اجرای پروژهها و هزینهکرد برای تامین آب پاسخگو نیست بلکه باید مدیریت مصرف را مدنظر داشته باشیم.
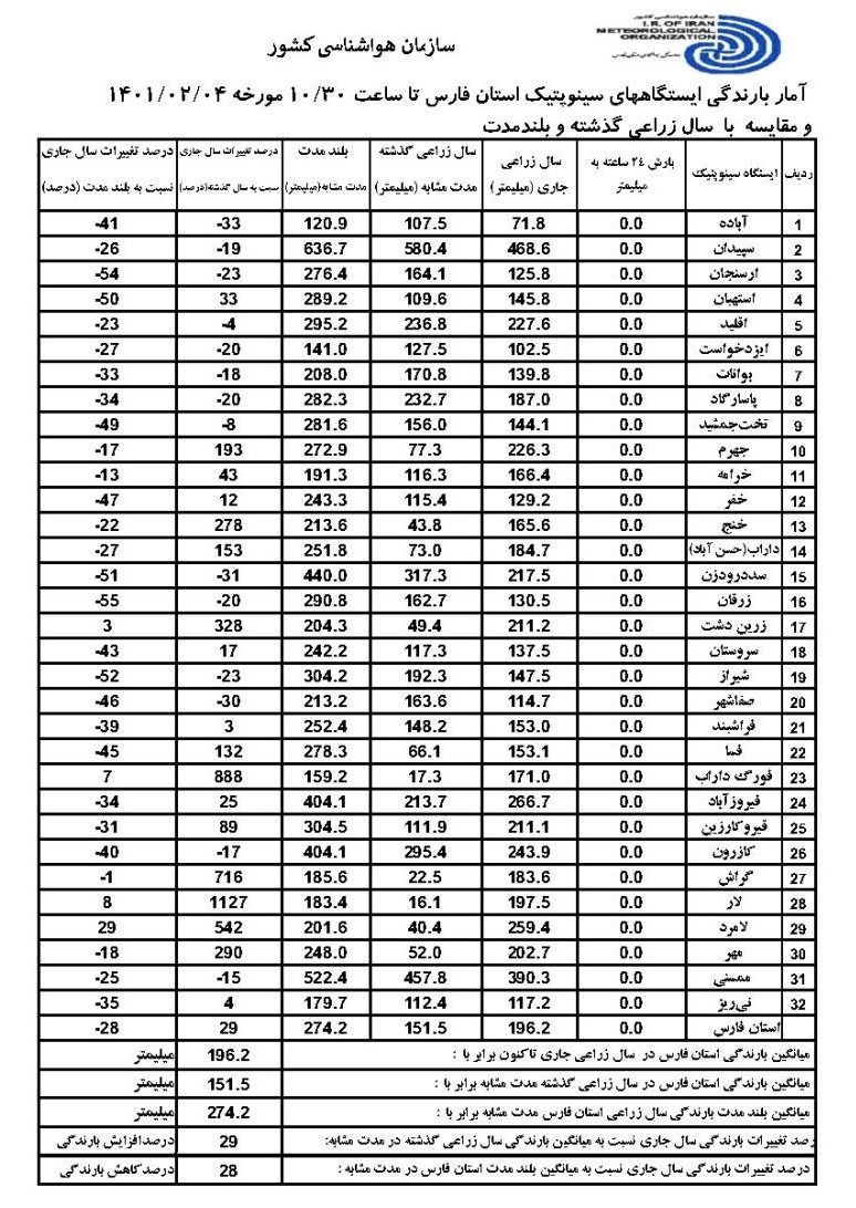
در مقابل این اعلام آمار منتشر شده از بارشها و ذخایر سدهای استان است که براساس آخرین آمار که مربوط به 4 اردیبهشت ماه است میانگین بارندگی استان در سال زراعی جاری 196.2 بوده که این میزان در مدت مشابه سال گذشته 151.5 بوده است.
بر این اساس درصد تغییرات بارندگی سال جاری نسبت به میانگین سال گذشته 29 درصد افزایش را نشان میدهد که این افزایش لزوما در شبکه آب شرب قرار نخواهد گرفت.
آخرین وضعیت ذخیره سدهای فارس
براساس آماری که آب منطقهای استان فارس از ذخایر سدها در 4 اردیبهشت ماه در اختیار خبرگزاری تسنیم قرار داد، مجموع حجم آب مفید در سدهای استان 998.2 میلیون مترمکعب است که این میزان در سال گذشته 1061.4 میلیون مترمکعب است که کاهش در حجم آب سدها دیده میشود.
در سال زارعی جاری ذخیره سدهای استان فارس نیز مشخص شده که براساس آن سد درودزن به عنوان منبع اصلی تامین آب شیراز 277.7 میلیون مترمکعب آب دارد، سد ملاصدرا 105.1 میلیون مترمکعب، ایزدخواست 0.32 میلیون مترمکعب، سلمان فارس 574.3 میلیون مترمکعب، تنگاب 3 میلیون، رودبال 25.4 میلیون مترمکعب، چشمه عاشق 12.1 میلیون مترمکعب آب دارد.
در این میان سدهای سیوند و خسویه نیز هیچ ذخیره آبی ندارد و با این حساب حجم آب مفید نسبت به حجم مفید مخازن سدهای فارس 41 درصد است یعنی 10 درصد از آنچه معاون استاندار نیز اعلام کرده کمتر که این امر یک خطر جدی را برای آب استان به ویژه در تابستان گوشزد میکند.


انتهای پیام/424 /ی