به گزارش خبرنگار بهداشت و درمان باشگاه خبرنگاران پویا؛ از روز گذشته تعدادی از شهرهای در وضعیت قرمز کرونا به نارنجی تبدیل شدهاند و هماکنون 198 شهرستان در وضعیت قرمز، 157 شهرستان نارنجی، 84 شهرستان زرد و 9 شهرستان آبی قرار دارند.
نقشه جدید رنگبندی شهرهای کشور در تصویر زیر آمده است.

ممنوعیت تردد به شهرهای قرمز و نارنجی
برابر مصوبات ستاد مقابله با کرونا سفر «از» و «به» شهرهای قرمز و نارنجی ممنوع و مشمول جریمه یک میلیونی و 500 هزار تومانی است.
برای دریافت لیست کامل رنگبندی شهرستانهای کشور اینجا کلیک کنید.
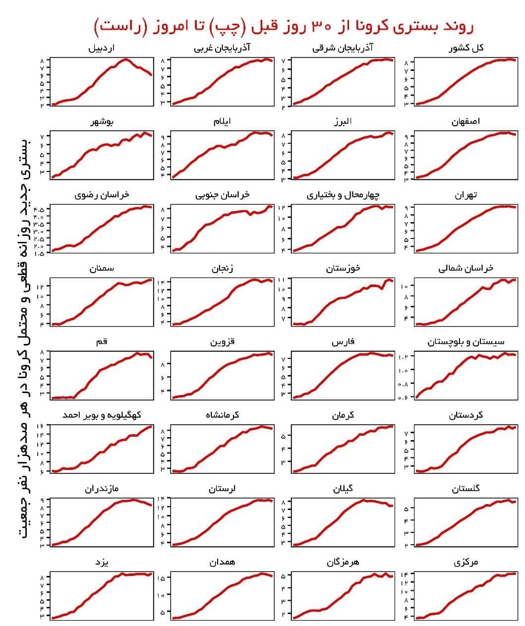
بعضی از استانها قله موج چهارم را پشت سر گذاشته یا در حال عبور از آن هستند و نمودار روند بستری کرونا از 30 روز گذشته تاکنون در استانهای کشور مطابق تصویر زیر است.

لغو ممنوعیت تردد شبانه در شبهای قدر
تردد شبانه در تمام شهرهای کشور از ساعت 22 شب تا 3 بامداد ممنوع و مشمول جریمه است؛ البته سخنگوی ستاد مقابله با کرونا گفته است: بهمنظور تسهیل در برگزاری مراسم شبهای قدر، طرح منع تردد شبانه از ساعت 22 شب تا 3 بامداد صرفاً در شبهای قدر لغو خواهد شد.
لغو طرح ترافیک تا آخر هفته
به گفته سخنگوی ستاد مقابله با کرونا این هفته طرح ترافیک تهران لغو میشود و برای ادامه این مصوبه، در روزهای بعدی تصمیمگیری خواهد شد.
پایینبودن میزان رعایت پروتکلهای بهداشتی
معاون بهداشت وزارت بهداشت با بیان اینکه وضعیت رعایت پروتکلهای بهداشتی در سطح کشور مطلوب نیست، هشدار داده است: حدود دو هفته است که رنگبندی و محدودیتهای جدید را اعمال کردهایم و در شهرهای قرمز و نارنجی بسیاری از مشاغل را تعطیل کردهایم اما میزان رعایت پروتکلها به 61 درصد رسیده است که وضعیت مطلوبی نیست.
اصنافی که در صدر جدول پروتکلشکنان قرار دارند
سوپرمارکتها، خواربارفروشیها، نانواییها، رستورانها، بانکها و فروشگاههای زنجیرهای بهترتیب کمترین میزان رعایت پروتکلها را دارند و اکثر این اماکن نیز جزو گروه شغلی یک و مجاز به فعالیت هستند.
رعایت 64 درصدی تهویه در مراکز سرپوشیده
طبق اعلام وزارت بهداشت، میزان مناسب بودن تهویه در مراکز سربسته 64 درصد است. ماسک زدن در اماکن عمومی به 63 درصد، رعایت فاصلهگذاری به حدود 61 درصد و رعایت پروتکلهای بهداشتی در فروشگاههای زنجیرهای به 81 درصد رسیده است که اگر این اعداد زیر 90 درصد باشد اثربخشی زیادی نخواهد داشت.
احتمال منفی کاذب بودن تستهای کرونا
رئیس مرکز مدیریت شبکه وزارت بهداشت به تسنیم گفت: حدود 35 درصد از افراد علیرغم اینکه علائم کرونا را دارند، ممکن است تستشان به طور کاذب منفی باشد.
شناسایی 3 مبتلا به کرونای آفریقای جنوبی
وزیر بهداشت از شناسایی 3 بیمار مبتلا به کرونای آفریقای جنوبی در کشور خبر و هشدار داد: متأسفانه دیشب اطلاع یافتیم در یکی از استانهای جنوبی کشور برای اولین بار سه مورد ویروس آفریقای جنوبی یافت شده است.
ویروس هندی تهدید جدی
وزیر بهداشت امروز با بیان اینکه ورود ویروس هندی ما را تهدید میکند، گفت: صدای پای ویروس هندی را نزدیک خود میشنویم تمام تبعه هندی و پاکستانی که وارد کشور شدند را بررسی میکنیم و دیروز در یکی از شهرستانهای کشور هندیهایی که مبتلا به کرونا بودهاند را پیدا کردهایم که در حال ارزیابی آنها هستیم و امیدواریم ابتلای آنها به ویروس جهش یافته هندی نباشد!
در عین حال معاون سیاسی استاندار بوشهر گفته است که 5 تبعه هندی با کرونای مثبت در یکی از مراکز اقامتی استان شناسایی شدند که ابتلای آنها به نوع جدید کرونا در دست بررسی است.
آغاز واکسیناسیون جمعیت بالای 80 سال در کشور
وزیر بهداشت همچنین از آغاز واکسیناسیون سالمندان بالای 80 سال در کشور از امروز خبر داد؛ وی در نامهای به وزیر ارتباطات و فناوری اطلاعات، خواستار لزوم ساماندهی ارسال پیامکهای اطلاع رسانی برنامه ملی واکسیناسیون کرونا به منظور پوشش کامل افراد ثبت نامی در این برنامه شد.
انتهای پیام/