به گزارش خبرگزاری تسنیم، ویروس کرونا همچنان دنیا را درگیر خود کرده است و روزانه به تعداد افراد مبتلا یا متوفی بر اثر این ویروس افزوده میشود. علاوه بر بحرانی که کوویدــ19 در عرصه سلامت ایجاد کرده است، تلفات و تبعات اقتصادی آن دستکمی از ضررهای خود ویروس نبوده است. قیمت نفت و تبادلات تجاری بهواسطه شیوع این ویروس بهشدت افت پیدا کرده است. صنایع مختلف از جمله گردشگری، حملونقل از این موضوع متضرر شدهاند. در بسیاری از کشورها میلیونها نفر از کار بیکار شده و در مضیقه مالی قرار گرفتهاند. اقشار متوسط و افرادی که پسانداز نسبی داشتهاند مجبور به استفاده از پسانداز خود شدهاند و بهمرور عرصه بر آنها تنگ شده است.
اما اوضاع برای همه یکسان نبوده است، بالعکس برخی از افراد متمول حتی در دوران کرونا به ثروت خود افزودهاند. آنها بهواسطه تمکن مالی میزان ابتلای کمتری را داشته یا دستکم شرایط مراقبت و درمانی بهتری را داشتهاند. شرایط بهتر بخش ثروتمند جامعه و رشد روزافزون آنها در میانه کرونا، بحثها درباره رشد نابرابری اجتماعی در کشورها را احیا کرده است، یا بهعبارتی به آن دامن زده است.
«برنی سندرز»، سناتور آمریکایی و کاندیدای سابق انتخابات ریاست جمهوری آمریکا در ماه مارس در این باره به تبعات شکاف اقتصادی در آمریکا اشاره کرد و گفت: «اگر شما مولتیمیلیونر باشید» از کرونا «جان سالم بهدر خواهید کرد».
آقای سندرز گفت که «شکاف درآمدی و اقتصادی در آمریکا امروز بیش از هر زمان دیگری در 100 سال گذشته است». او با اشاره به افراد متمول در شرایط کرونا گفت: «شما به آنچه نیاز داشته باشید خواهید رسید. شما درباره مراقبت درمانی نگران نخواهید بود. شما درباره درآمد و عایدی خود نگرانی نخواهید داشت».
«جف بزوس»، مدیرعامل و کارآفرین «شرکت آمازون» که الآن حدود 11 درصد سهام این شرکت را دارد، در همین دوران کرونا با انجام فعالیتهای اقتصادی و حضور در بازار بورس حدود 24 میلیارد دلار به دارایی خود اضافه کرده است و آن را به عدد 138 میلیارد دلار رسانده است.
«ووکس اروپا» مقالهای را درباره شیوع ویروس کرونا در آلمان نوشته است. این مقاله میگوید که در موج اول شیوع، ویروس کرونا در محلههای متمولتر و بهعنوان مثال نزد افرادی که از اسکی در زمان تعطیلات برمیگشتند بیشتر از محلههای محرومتر بود. اما در موج دوم، بهدلیل توانمندی اقشار مرفهتر برای ایزوله اجتماعی، وضعیت بهعکس شد و میزان ابتلا در محلههای مرفهتر کاهش یافت.
به شکل زیر که در این مقاله است، توجه کنید؛ ستون عمودی (ابتلای جدید تقسیم بر ابتلای قدیم) و خط افقی (درآمد مشمول بر مالیات سرانه) را نشان میدهند.

این وضعیت باعث شده است که عدهای ویروس کرونا را «بیماری ثروتمندان» بنامند.
البته ویروس همهگیر کرونا در این زمینه استثنا نیست، سوابق تاریخی در بحبوحه شیوع پاندمیهای مختلف حکایت از افزایش شکاف طبقاتی در کشورها داشته است.
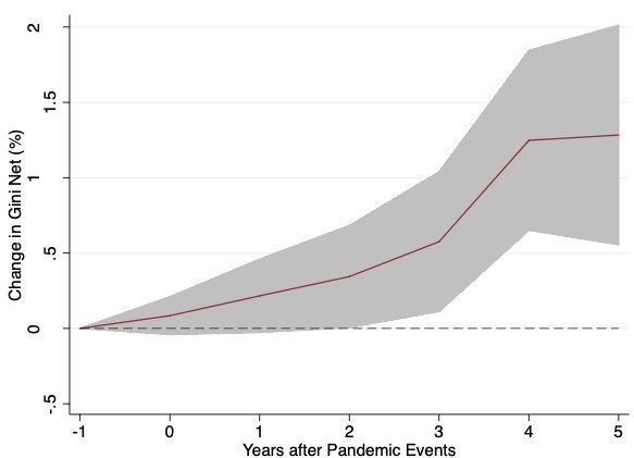
نمودار زیر وضعیف شکاف طبقاتی در 175 کشورها را پس از شیوع پاندمی در آن کشورها در فاصله سالهای 1961 تا 2007 نشان میدهد. جدول زیر شکاف طبقاتی را بر اساس ضریب جینی (ستون عمودی) و تعداد سالهای پس از بیماریهای همهگیر (خط افقی) نشان میدهد. توضیح اینکه، شاخص جینی یا ضریب جینی شاخصی اقتصادی برای محاسبهٔ توزیع ثروت میان مردم است. بالا بودن این ضریب در یک کشور معمولاً بهعنوان شاخصی از بالا بودن اختلاف طبقاتی و نابرابری درآمدی در این کشور در نظر گرفته میشود.

نمودارهای ذیل هم میزان اشتغال بهنسبت جمعیت را در 76 کشور و در 5 سال پس از وقوع بیماریهای همهگیر نشان میدهد. بازه زمانی این نمودار بین سالهای 1990 تا 2017 است و در دو نمودار مربوط به افراد با تحصیلات پایه و تحصیلات عالی تهیه شده است.

توماس پیکتی، اقتصاددان فرانسوی در سال 2014 در کتاب «سرمایه» خود نوشت که نابرابری اقتصادی در آمریکا و بسیاری از کشورهای دیگر از دهه 1970 بهطور قابلتوجهی افزایش یافته است. بسیاری از محققان در واکنش به کتاب پیکتی، این مطلب را بیان کردند که نابرابری تبعات و اثرات نامطلوب زیادی دارد که از جمله آنها تأثیرات منفی قابل توجه بر بحث سلامت است، و بحران ویروس کرونا بهعنوان یکی از نمونههای آن است.
هارولد کلارک و پاول وایتلی در تحقیقی درباره کرونا و عوامل اقتصادی، اجتماعی و جمعیتی مینویسند که ایالتهایی که در آمریکا دچار شکاف درآمدی بیشتری هستند، شمار بیشتری از مبتلایان به ویروس کرونا و متوفیان ناشی از این ویروس را دارند.
نمودار زیر میزان مرگومیر بر اثر کرونا را نسبت به میزان شاخص جینی مورد بررسی قرار میدهد. بر اساس این نمودار هرچه میزان شاخص جینی افزایش پیدا میکند که بهمفهوم افزایش شکاف طبقاتی است، میزان مرگومیر هم رو به صعود دارد. ستون عمودی میزان مرگومیر بر اثر کرونا و خط افقی نشاندهنده شاخص جینی است.

در همین حال نمودار دیگری نکات قابلتوجهی دارد. نمودار ذیل نشان میدهد که ایالتهایی در آمریکا که جمعیت یا تراکم جمعیتی بالاتری دارند میزان ابتلا و تلفات بیشتری هم دارند. این نمودار میزان تأثیر متغیرهای مختلف بر میزان مرگومیر را نشان میدهد، بالعکس، ایالتهایی که سیستم درمانی بهتر و سطح توسعه انسانی بالاتری دارند، میزان ابتلا و تلفات کمتری دارند.

انتهای پیام/.+