به گزارش خبرنگار اقتصادی خبرگزاری تسنیم، سقف وام مسکن برای زوجهای جوان در شهر تهران برای هر نفر 50میلیون تومان و برای هر زوج جوان 100 میلیون میشود.
مهلت بازپرداخت این وام 12ساله بوده که طی 144 قسط یک میلیون و 670 هزار تومانی بهازای هرماه باید پرداخت شود. درضمن هرکسی برای گرفتن این تسهیلات بخواهد از محل خرید اوراق اقدام نماید باید بهازای هر یک میلیون تومان 160 هزار تومان اوراق خریده و به بانک مسکن بدهد که تحت مالکیت بانک درآمده و دیگر فرد مالک آن نیست!!
یعنی برای 100 میلیون وام باید 16میلیون تومان اوراق خریداری شود و عملاً 84 میلیون پول دست افراد را میگیرد، البته با این فرض که بانک کارمزد دیگری دریافت نکند.
پس از این مرحله فرد باید بهمدت 144 ماه و هر ماه 1670000 تومان (یک میلیون و 670 هزار تومان) قسط وام را پرداخت کند، که اگر بانک مسکن این مبلغ وام را در یک حساب بانکی با نرخ بهره 18 درصد (ماهانه 1.5درصد) سپرده گذاری کند ــ و فرض اینکه با نرخ 27 درصد تسهیلات دهد را کنار بگذاریم ــ پس از 12 سال جمع آن با فرمول نرخ بهره مرکب شده معادل 838692239.8842 تومان (838 میلیون و 692 هزار و 239 تومان) خواهد شد.
*فرمول محاسبه نرخ بهره مرکب

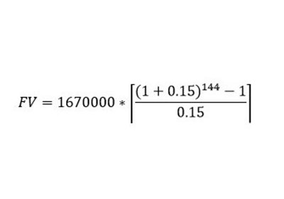
از سویی اگر بانک 16 میلیون پول اوراق را نزد یک حساب با پرداخت سود ماهانه 1.5 درصد (سود سالانه 18 درصد) سپرده کند ارزش آتی آن بعد از 12 سال از فرمول ارزش آتی محاسبه شده که معادل 136530621.3007 تومان (136 میلیون و 530 هزار و 621 تومان) میشود.
*فرمول محاسبه ارزش آتی

بهعبارتی ارزش آتی درآمد این وام برای بانک مسکن در حالت بدبینانه و بعد از 12 سال 975222861.1849 تومان (975 میلیون و 222 هزار و 861 تومان) میشود.
ارزش فعلی این پول با فرض نرخ تورم 12 درصد و نه بر اساس نرخ تورم تکرقمی با استفاده از فرمول ارزش فعلی محاسبه میشود، بر این اساس ارزش فعلی این پول بالغ بر 250315418.5371 تومان (250 میلیون و 315 هزار و 418 تومان) خواهد شد.
*فرمول محاسبه ارزش فعلی

بهعبارتی میزان سود هر 100 میلیون وام بانک مسکن برای زوجهای جوان برای خود این بانک 150میلیون تومان سودآوری ایجاد خواهد کرد.
انتهای پیام/*